NMN的安全性實驗
煙酰胺腺嘌呤二核苷酸 (NAD + ) 水平的增加可緩解與年齡相關的疾病進展并促進健康預期壽命。
NAD +已被研究作為激活沉默調節蛋白家族成員所需的輔酶,其具有抗衰老功能。在sirtuin家族的成員中,sirtuin 1 (SIRT1)已被研究作為一種通過葡萄糖代謝、胰島素分泌、脂質代謝、血管生成和消除細胞衰老的因子。
多項研究表明 NAD +通過攝入煙酰胺單核苷酸(NMN)可以有效補充水平;此外,其口服攝入的安全性已在最近的臨床試驗中得到證實。
在一項關于NMN的研究中,米爾斯等人給5-17個月大的小鼠口服300 mg/kg NMN一年,盡管飲食攝入量高于對照組,但體重減輕了9%;他們發現,不僅與衰老相關的膽固醇水平升高受到抑制,而且骨骼肌、肝臟和脂肪中與衰老相關的基因表達也沒有顯著變化。最近,該小組在健康個體中進行了口服NMN的臨床試驗,證明NMN在血液中安全代謝,不影響糖代謝、脂代謝、肝臟、腎臟和白細胞。
與口服相比,靜脈注射 NMN 對人體的有效性和安全性仍不清楚。因此,研究人員在10名健康志愿者身上驗證了其安全性。
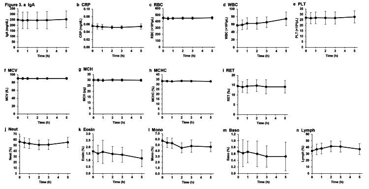
研究者研究了靜脈注射 NMN 后針對肝臟、心臟、胰腺和腎臟的代謝標志物的藥代動力學,因為靜脈注射藥物可以快速到達全身器官,即使口服給藥是安全的,也可能會給特定器官帶來負擔。靜脈注射 NMN 后 0.5、1、2、3 和 5 小時測量的血漿中肝臟、胰腺、心臟和腎臟相關代謝標志物水平與給藥前相比沒有顯著差異。此外,對血液中紅細胞、白細胞、血小板和相關標志物的分析顯示,靜脈注射NMN之前和之后0.5、1、2、3和5小時沒有顯著變化。

▲靜脈注射 NMN 對肝臟、胰腺、心臟和腎臟代謝標志物的影響

▲靜脈注射 NMN 對免疫標記物水平和血細胞的影響
靜脈注射 NMN 后 0.5、1、2、3 和 5 小時測量的 NAD+/NADH 血液水平顯示,與給藥前相比,0.5 至 3 小時內 NAD +水平顯著增加和總 NAD +水平顯著增加。

▲NMN 給藥對 NAD+ 水平增加和 SIRT1 激活的影響
靜脈注射NMN不影響心電圖、脈搏和血壓,也不影響肝臟、心臟、胰腺和腎臟的代謝標志物。這些結果表明靜脈注射 NMN 對人類是安全且有益的。此外,NMN 給藥顯著增加了血液 NAD +水平,而不損害血細胞,并顯著降低血液甘油三酯(TG)水平。這些發現表明,靜脈注射 NMN 可能有助于預防和治療與 TG 水平升高相關的疾病,例如脂肪肝和糖尿病。
*特別說明 - 本文僅作資訊科普用途,不能代替醫生的治療診斷和建議,不應被視為對所涉醫療產品的推薦或功效證明。涉及疾病診斷、治療、康復相關的,請務必前往專業醫療機構就診,尋求專業意見。